不動産の評価           戻る 




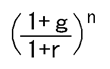
 ●  逓増複利現価率 

   r:年利率  g : 年金の毎年の増加率  n : 年 数      毎年一定の割合(g)%で増加する元本の一定の期間(n)後の  複利終価額を割引率(r)%で割り戻した現在価値を求める場合  に使用する係数です。増加率(g)%が0の場合は、複利現価率  と同値となります。 [検討事例]  ○現在建設すれば金額Aがかかる建物を一定期間後(n)に建設  する契約を締結しました。その建設費は毎年(g)%の割合で  増加していくとしますと(n)年後の建設費は現在の価値に割り  戻すといくらに相当しますか。割引率は(r)%とします。


逓増複利現価率
 基準・年利率(r) %
 元金の増加率(g) %
 検討年 (n) 年
 検討金額 A 円


 クリックして計算を実行して下さい。


検討結果
 逓増複利現価率 =